Grenzwerte 1
Grenzwerte (Teil 1)
Aufgabe
Wir betrachten die Folge
Berechnen Sie zunächst den Grenzwert dieser Folge und überlegen Sie anschließend welche der folgenden Aussagen wahr sind.
Wir betrachten die Folge
Berechnen Sie zunächst den Grenzwert dieser Folge und überlegen Sie anschließend welche der folgenden Aussagen wahr sind.
- Die Folge ist monoton fallend.
- Die Folge ist monoton wachsend.
- Es kann eine kleinste obere Schranke bestimmt werden.
- Es kann eine größte untere Schranke bestimmt werden.
- Der Grenzwert ist 30.
- Der Grenzwert ist e.
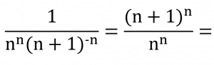
Wie lässt sich die betrachtete Folge vereinfachen bzw. anders darstellen?
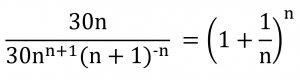
Sowohl im Zähler als auch im Nenner stehen die Faktoren 30 und n. Diese können gekürzt werden:
Die gegebene Formel kann nun umgeschrieben werden:

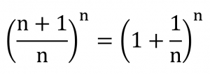
Somit gilt allgemein:

Somit gilt allgemein:
Wählen Sie zwei beliebige Werte für n und berechnen Sie anschließend die Folgenwerte. Was fällt Ihnen auf?
Mit diesem Tipp können Sie entscheiden, ob Antwortmöglichkeit 1 oder 2 wahr ist.
Nähert sich die Folge dem Grenzwert von oben oder von unten an?
Dieser Tipp hilft Ihnen, um zwischen Antwortmöglichkeit 3 und 4 zu entscheiden.
Richtig sind die Antwortmöglichkeiten 2, 3 und 6.