Matrizen
Aufgabe
Ein Elektroladen verkauft in den Aktionswochen 1, 2 und 3 die Produkte DVD, Handy und PC. Jede Woche sind verschiedene Produkte im Angebot, weshalb auch in jeder Woche unterschiedlich viele Produkte verkauft werden. Außerdem teilt der Elektroladen seine Kunden in drei Altersklassen ein (bis 24 J., 25-50 J., 50+), um das Kaufverhalten besser analysieren zu können.

Berechnen Sie den Umsatz des Elektroladens durch Matrizenmultiplikation.
Ein Elektroladen verkauft in den Aktionswochen 1, 2 und 3 die Produkte DVD, Handy und PC. Jede Woche sind verschiedene Produkte im Angebot, weshalb auch in jeder Woche unterschiedlich viele Produkte verkauft werden. Außerdem teilt der Elektroladen seine Kunden in drei Altersklassen ein (bis 24 J., 25-50 J., 50+), um das Kaufverhalten besser analysieren zu können.

Berechnen Sie den Umsatz des Elektroladens durch Matrizenmultiplikation.
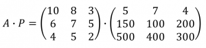
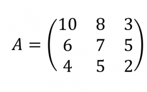
Die Absatzmatrix A (in Stück) und Preismatrix P (in Euro pro Stück) lassen sich aus den beiden Tabellen ablesen.
Es ist
und
.
Daraus ergibt sich
und
.Daraus ergibt sich
